
本文件起草单位:公安部道路交通安全研究中心、山东省公安厅交通管理局、同济大学。
本文件主要起草人:刘君、胡伟超、徐炅旸、孙广林、胡雁宾、齐晨、孙涛、傅挺、毛圣明、支野。
c) 道路通行条件,
d) 危化品类别及运量,
e) 当地应急救援能力,
f) 沿线地形地貌,
g) 自然环境敏感区分布,
h) 气候及天气条件,
i) 历史交通流量,
j) 其他需考虑的因素。
c)特大桥梁、特长隧道、隧道群、桥隧相连路段及水下公路隧道;
d)长坡陡坡、临水临崖等通行条件差的山区公路;
e)法律、行政法规规定的其他可以限制通行的区域。
c) 近3年交通事故资料,包括事故时间、地点、形态、原因、伤亡人数、涉及车型、天气等数据;
d) 道路通行条件资料,包括道路路肩宽度、桥梁承重、坡度、转弯半径等;
e) 人口分布资料,沿线户籍人口数量、人口普查数据等相关数据;
f)自然环境资料,包括自然保护区、水源地、风景区等的面积、类别及空间分布数据;
g) 沿线应急消防、医疗卫生、公安交管等部门位置、人员、车辆、装备等资料;
h) 地形、地貌及气候条件资料;
i)其他可用于安全风险分析的数据资料。
c) 交通事故相关资料可以从公安机关交通管理部门获取;
d) 道路通行条件资料可以从交通运输部门的设计文件或实地测量资料获取;
e) 人口分布资料可以从公安机关户政部门或统计部门获取;
f) 自然环境资料可以从林业、环境及水务部门获取;
g)地形及气象资料可以从自然资源及气象部门获取。

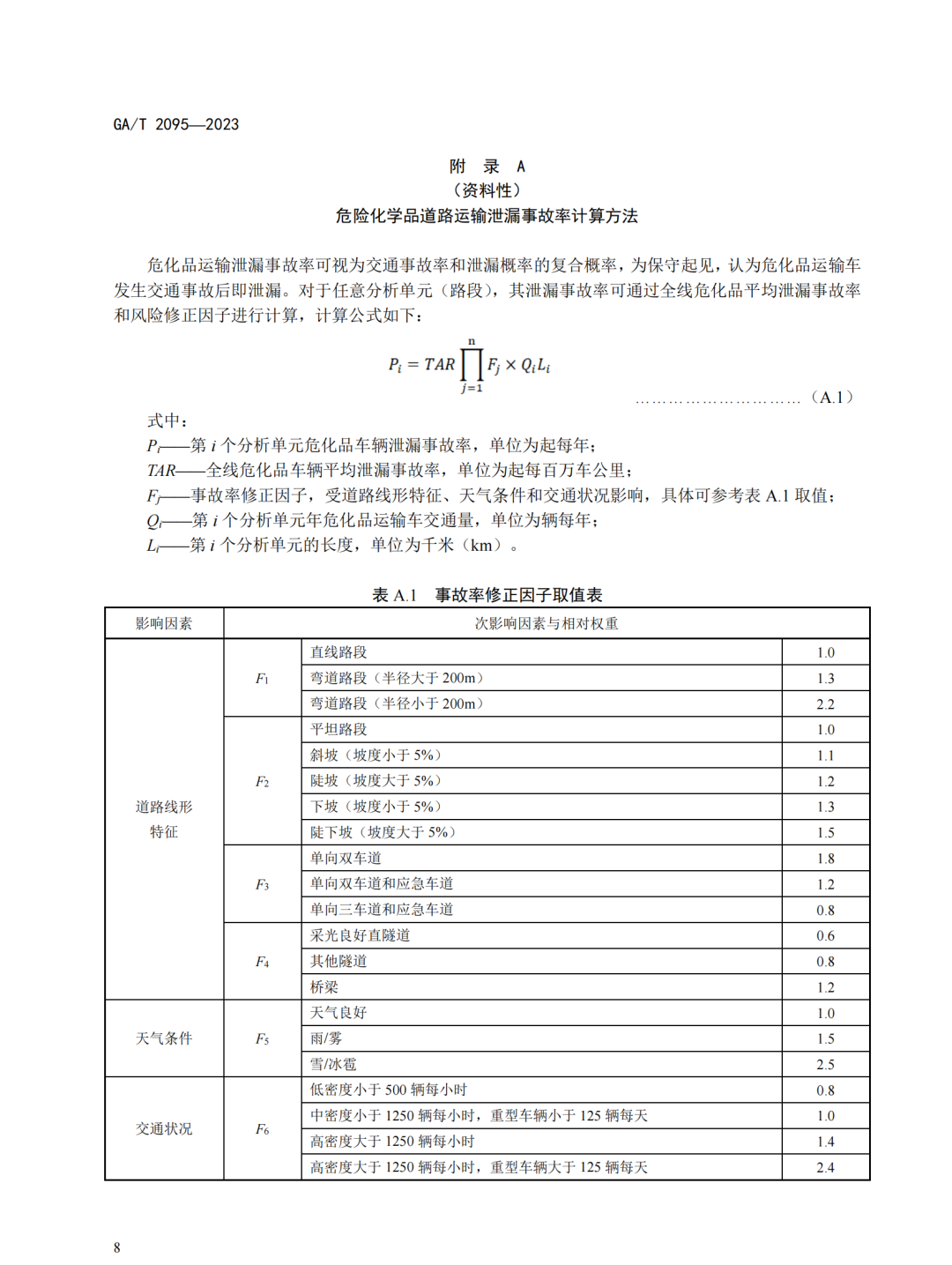
7.2.4 隧道宜视其长度单独作为分析计算单元。
7.3.4 当采用替代数据估算危化品运输车辆事故率时,宜对所有路段及候选路线采用同样的替代方式。
7.3.5 在计算危化品运输车辆事故率时,宜使用连续 3 年的历史交通事故数据。
7.3.6 在涉及新建道路等特殊情况下,如无法获取历史交通事故数据,可采用交通流量、道路类型、通行条件等相似道路的相关数据进行计算。
7.4.2 估算可能伤亡人数
7.4.2.1 估算影响范围内的可能伤亡人数时,宜对道路内交通参与者和道路周边居住停留人口分别计算和分析:

7.4.2.2 宜根据候选路线交通流量、交通组成及其变化规律,合理估算路内机动车驾乘人员、非机动车 驾驶人及行人的分布状态。并参照附录C相关方法,分别针对危化品缓慢泄漏和瞬时大量泄漏场景,计算影响范围内道路内可能伤亡人数。
7.4.2.3 在特殊情况下,如隧道、桥梁、路堑等,需考虑危化品运输泄漏事故发生时,可能对被困机动车驾乘人员、非机动车驾驶人及行人的影响。
7.4.2.4 宜根据人口普查数据估算影响范围内道路周边可能伤亡人数;当人口普查数据不可用时,可使用县、市级人口密度等数据估算影响范围内道路周边可能伤亡人数。
7.4.2.5 有条件的,可综合采用实地调研、取样估计等方法,估算影响范围内居住或停留人口的空间分布状态。
7.4.2.6 宜考虑通勤、学校教学等因素导致道路周边居住或停留人口随时间的变化情况,并结合就业、学龄人口数据分别估算白天和夜间的人口分布。

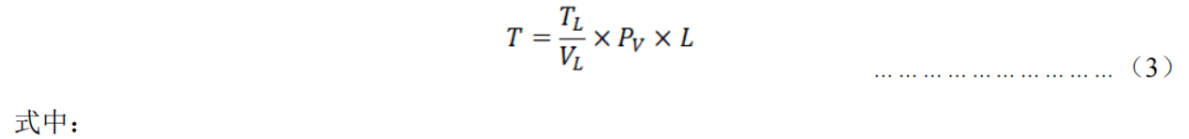
PV——每辆车内的平均驾乘人数;
L ——总车道数(双向)。
8.1.4 自然环境破坏风险以某道路(路段)发生危化品运输泄漏事故率与其可能造成自然环境敏感区破坏面积的乘积表征, 即:

8.1.5 可根据沿线自然环境敏感区类型、重要程度,以加权求和的方式计算自然环境破坏风险。必要时,宜考虑水源地取水人口数量、溪流连通水网面积等因素。
c) 参照9.4、9.5,考虑其他条件对比选结果进行调整。
c) 如在用路线安全风险值较高,但与安全风险值最低候选路线相差不超过50%,当该候选路线长度不超过在用路线长度的1.25倍时,宜采用该候选路线,否则按在用路线执行;
d) 当比选路线间的安全风险值差异小于10%,宜避免仅依据安全风险值做出比选结论。
c) 宜对比沿线地形对危化品泄漏物扩散、控制、清除等产生的影响;
d) 宜对比不利天气条件产生的影响;
e) 宜考虑沿线交通流量及拥堵状况对事故发生后应急响应产生的影响。
c) 对于桥梁和高架路段,事故发生时驾乘人员逃生的难易程度宜作为调整选线决策的依据。







